Cómo interpretar las visualizaciones

Las visualizaciones te ayudan a interpretar la inferencia del modelo y a comprender el rendimiento de los canales de medios según el modelo.

Meridian proporciona varias formas de visualizar los resultados del modelo:

  • Genera un informe HTML de dos páginas con un período personalizado que se pueda exportar a tu unidad de Google Drive.

  • Genera un resumen de los resultados del modelo para personalizar tus propios informes y visualizaciones, o bien exportarlos a otro formato. Estos resúmenes numéricos de tus métricas de medios te permiten acceder a más detalles.

  • Genera gráficos para visualizar tus datos de medios. Puedes crear gráficos personalizados, algunos de los cuales no están disponibles en el informe HTML estándar. Por ejemplo, puedes generar gráficos de canales específicos, cambiar o borrar el intervalo creíble, y agregar las curvas de decaimiento de Adstock y de saturación de Hill.

Gráficos de Model fit

Los gráficos de Model fit miden la adecuación estadística del ajuste y solo se generan como parte del informe HTML de dos páginas.

Estos gráficos facilitan la evaluación del rendimiento del modelo y ayudan a determinar si no es adecuado en términos de ajuste.

Gráfico de ejemplo: (haz clic en la imagen para ampliarla)

model-fit-output

En el gráfico Expected revenue vs. actual revenue, se comparan los ingresos (o el KPI) previstos o esperados con las cifras de ingresos (o el KPI) reales. La línea dorada muestra los ingresos sin los efectos de los medios. Las líneas azul y verde representan los ingresos esperados y reales, respectivamente. (La métrica Ingresos esperados es la media a posteriori). Cuanto más coincidan las líneas azul y verde, mejor será el ajuste del modelo.

En la tabla Model fit metrics, se muestran todas estas métricas:

  • Coeficiente de determinación R² (R-squared): Mide el grado de variación en los datos explicado por el modelo. Cuanto más cerca esté el valor de 1, más preciso será el modelo.

  • Error porcentual absoluto medio (MAPE): Mide la diferencia porcentual absoluta media entre lo esperado y lo real. Cuanto más cerca esté el valor de 0, más preciso será el modelo.

  • Error porcentual absoluto medio ponderado (wMAPE): Esta medición se pondera según los ingresos reales. Se suele preferir el valor ponderado sobre el no ponderado, ya que se ve menos influenciado por las ubicaciones geográficas y las semanas con ingresos relativamente bajos. Para obtener más información, consulta wMAPE.

Las estadísticas de ajuste del modelo también pueden ser útiles para comparar modelos candidatos. Sin embargo, ten en cuenta que las métricas de bondad de ajuste no ofrecen un panorama completo de qué tan adecuado es un modelo para la inferencia causal. Además, es probable que el mejor modelo para la inferencia causal sea distinto del que es más apropiado para la predicción.

Gráficos de Channel contribution

Los gráficos de Channel contribution te ayudan a comprender qué generó tus ingresos.

Gráfico de ejemplo: (haz clic en la imagen para ampliarla)

revenue-contribution

Gráficos de contribuciones de referencia y de marketing

Las mediciones de contribuciones de referencia y de marketing incluyen dos gráficos:

  • Gráfico de cascada de contribuciones: Muestra las contribuciones de ingresos o del KPI incrementales de cada canal de distribución individual.

  • Gráfico circular de contribuciones: Este gráfico (ubicado en la esquina superior derecha) muestra el porcentaje total combinado de las contribuciones de los canales de distribución en comparación con el porcentaje de contribución de referencia a los ingresos o el KPI esperado total.

Usa estos gráficos para comprender el impacto financiero general de tus estrategias y tácticas de marketing combinadas en comparación con el valor de referencia.

El valor de referencia muestra lo que habría sucedido, por ejemplo, con tu marca o línea de productos, sin las contribuciones de los canales de distribución. Toda empresa espera tener algunas ventas incluso ante la ausencia de marketing. Se prevé que algunas marcas tendrán más ventas que otras debido a factores como un reconocimiento de marca ya consolidado y los patrones estacionales de demanda.

Estimar los ingresos o el KPI de referencia ayuda a poner en perspectiva las contribuciones de los medios y a tomar decisiones de marketing prácticas. Por ejemplo, podrías observar que el aumento en las ventas generales se debió a una contribución del 12% de los anuncios de TV, lo que puede ayudar a justificar la inversión publicitaria y el plan de marketing.

Contribución de inversión y de ingresos

En el gráfico Contribución de inversión y de ingresos, se muestra el porcentaje de inversión en medios de cada canal y el porcentaje de contribución a los ingresos o al KPI incrementales totales. Las barras verdes destacan el retorno de la inversión (ROI) de cada canal, lo que indica la eficiencia de la inversión del canal en cuestión.

Este gráfico proporciona una descripción general del tamaño y el rendimiento relativos de los distintos canales. Puedes obtener estadísticas más detalladas de los gráficos del ROI y del ROI marginal, y explorar el optimizador de presupuestos para obtener recomendaciones sobre estrategias de asignación.

Gráficos de Return on investment

Los gráficos de Return on investment (ROI) te ayudan a comprender cómo tus actividades de marketing afectaron tus objetivos comerciales. El ROI se define como los ingresos incrementales por dólar invertido. El CPIK se define como el costo por KPI incremental. Para obtener más información, consulta la definición del resultado incremental.

Si generas gráficos a partir de estos datos, puedes personalizar o inhabilitar el intervalo creíble y ajustar los tamaños de los círculos.

La comparación del ROI, el ROI marginal, la efectividad y el CPIK en los diferentes canales proporciona un panorama integral y detallado del rendimiento de los canales.

Gráfico de ejemplo: (haz clic en la imagen para ampliarla)

roi-charts

  • ROI by channel: Compara el ROI de los diferentes canales.

  • CPIK por canal: Compara el CPIK entre los canales.

    Tanto el gráfico del ROI por canal como el del CPIK por canal se pueden personalizar para cambiar o quitar el intervalo creíble predeterminado.

  • Comparación entre el ROI y la efectividad: Compara el ROI de cada canal con su efectividad. La efectividad se define como los ingresos incrementales por unidad de medios (impresión). Un ROI alto no siempre implica una gran efectividad. Por el contrario, una inversión baja no siempre implica poca efectividad.

  • ROI vs. marginal ROI: Compara el ROI con el retorno de la inversión marginal (mROI). En este contexto, el mROI es el retorno de la inversión previsto de una unidad adicional invertida.

    El mROI es un indicador de la eficiencia de la inversión adicional. Por ejemplo, es probable que los canales con un ROI alto y un mROI bajo se encuentren en la fase de saturación. Por lo tanto, es probable que las inversiones adicionales no generen el mismo rendimiento que las inversiones iniciales. Por el contrario, los canales con un ROI y un mROI altos tienen un buen rendimiento, y probablemente sigan generando excelentes retornos con una inversión adicional.

Curvas de respuesta

Las curvas de respuesta ayudan a visualizar las relaciones de causa y efecto entre las actividades de marketing y los resultados comerciales. Si comprendes las relaciones históricas entre las iniciativas de marketing y las ventas a través de las curvas de respuesta, puedes estimar el rendimiento de los diferentes niveles de inversión en medios.

Si generas gráficos a partir de esta información, puedes aplicar personalizaciones para mostrar gráficos independientes, un único gráfico con todos los datos o solo los principales canales en función de la inversión. También puedes ocultar el intervalo creíble.

Gráfico de ejemplo:

Gráficos de análisis óptimos

Aquí se muestran curvas agregadas de respuesta a nivel del canal. El eje X representa la inversión total en todas las ubicaciones geográficas y períodos utilizados para entrenar el modelo, mientras que el eje Y representa los ingresos incrementales esperados que se generarían hipotéticamente. Las unidades de medios en cada ubicación geográfica y período se ajustan proporcionalmente a la inversión total y se asignan según el patrón histórico de publicación en las ubicaciones geográficas y los períodos.

Las curvas de respuesta de Meridian muestran tu nivel de inversión actual y en qué punto comienzan a disminuir los retornos de la inversión por canal. Esto proporciona una perspectiva adicional para ayudar a reducir el riesgo de una inversión excesiva. Por ejemplo, si tienes un canal con un ROI alto, pero la curva de respuesta muestra que está saturado o cerca de la fase de saturación (como un ROI marginal bajo), puedes considerar reasignar parte de ese presupuesto a un canal con un rendimiento alto que aún esté lejos de alcanzar la saturación.

Es importante ser prudente al interpretar las curvas de respuesta fuera del rango de los datos históricos disponibles sobre los medios. Por ejemplo, supongamos que la ejecución de los medios de un canal específico se concentra en un nivel determinado en diferentes ubicaciones geográficas y períodos. En este caso, no se puede observar lo que sucede cuando la ejecución de los medios es mucho más alta o baja que ese nivel. En cambio, tales inferencias se basarían en extrapolar fuera del rango disponible las relaciones observadas dentro de él.

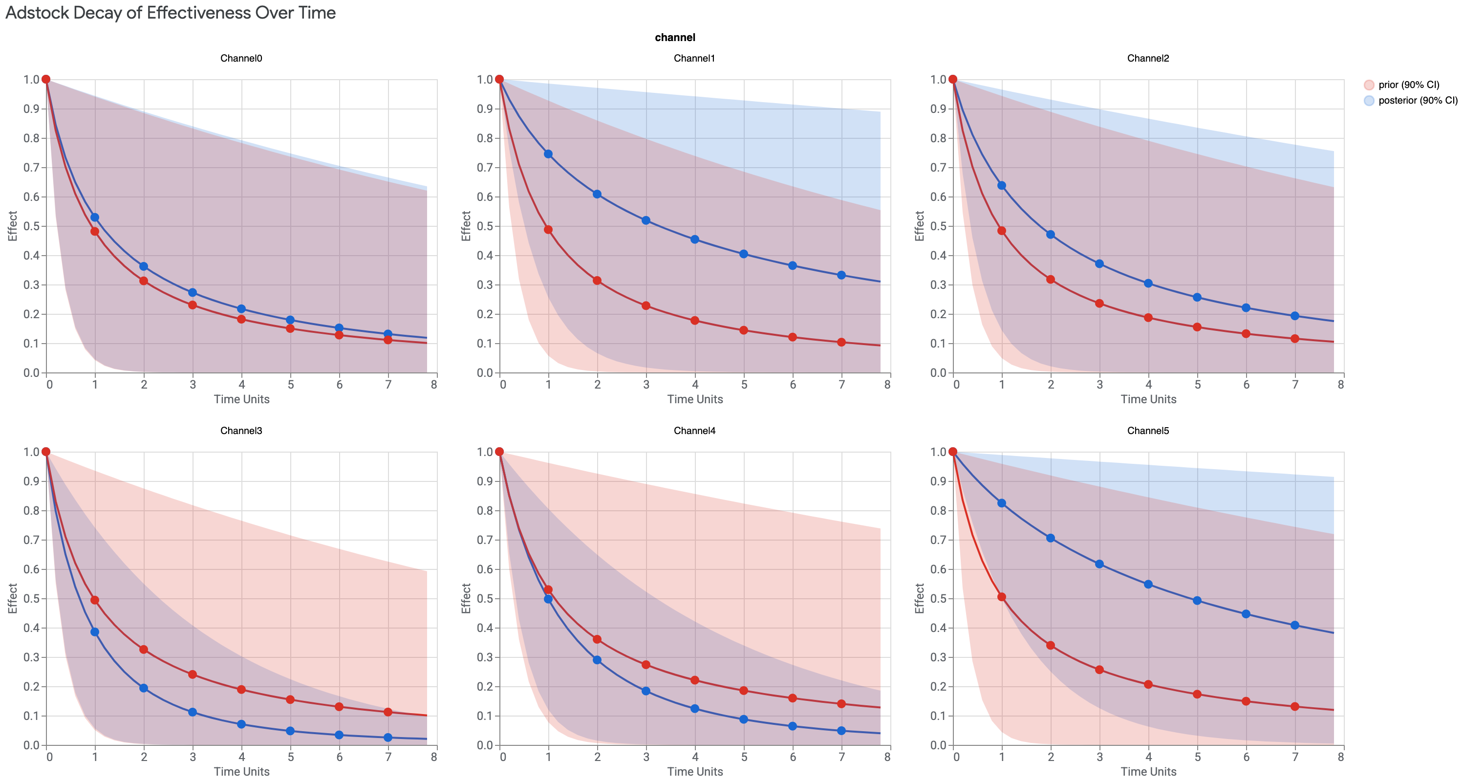
Curvas de decaimiento de Adstock

Puedes generar un gráfico para visualizar el decaimiento de Adstock. Esta visualización no se incluye en el informe HTML de dos páginas.

Estas curvas muestran la tasa de decaimiento de los efectos de los medios, donde el efecto máximo del decaimiento monótono de Adstock utilizado por Meridian se produce el primer día. Si la distribución a posteriori es más alta que aquella a priori, significa que los efectos de publicar un anuncio en ese canal de medios duran más de lo que se suponía.

Gráfico de ejemplo: (haz clic en la imagen para ampliarla)

El método de decaimiento de Adstock tiene en cuenta el efecto rezagado (transferencia), que es el impacto retrasado de la publicidad en las ventas. Los consumidores no siempre compran el producto inmediatamente después de ver el anuncio, lo que crea un efecto rezagado.

Estos gráficos te ayudan a hacer lo siguiente:

  • Comprender en qué medida los datos (en comparación con la distribución a priori) afectaron la estimación de Meridian sobre los efectos de transferencia

  • Comprender cómo la función de decaimiento de Adstock elegida (geométrica o binomial) influyó en la estimación de Meridian sobre el efecto a largo plazo

  • Determinar si se debe aumentar o disminuir max_lag.

  • Generar hipótesis para estrategias sobre cuándo y con qué frecuencia asignar la inversión de un canal a lo largo del tiempo

Curvas de saturación de Hill

Puedes generar un gráfico para visualizar la saturación de Hill. Esta visualización no se incluye en el informe HTML de dos páginas.

Estas curvas se acercan a 1 a medida que las unidades de medios (por lo general, impresiones) per cápita se mueven hacia el infinito y muestran el efecto de esas unidades en relación con esta asíntota. Las curvas de Hill se utilizan para mostrar la saturación (efectividad reducida).

Gráfico de ejemplo: (haz clic en la imagen para ampliarla)

Las curvas de Hill captan una relación matemática entre el KPI y las unidades de medios semanales promedio (por lo general, impresiones) per cápita. Se considera que una relación no lineal refleja fenómenos psicológicos del marketing a un nivel detallado, como el impacto de que los consumidores vean varias veces el mismo anuncio.

Este gráfico también muestra el histograma de las unidades de medios (como las impresiones), per cápita en todas las ubicaciones geográficas y períodos. Esto te permite visualizar con qué frecuencia y en qué medida tu ejecución histórica de medios estuvo excesiva o insuficientemente saturada, todo a un nivel detallado. Ten en cuenta que las ubicaciones geográficas pequeñas y grandes se representan de la misma manera en este histograma, y puede ser conveniente analizar más a fondo tus datos sin procesar para comprender qué podría estar generando ciertos patrones o valores atípicos.

El histograma también puede ser útil para desarrollar un punto de vista fundamentado sobre en qué medida se debe confiar en la inferencia en los distintos puntos de la curva de Hill. Esta curva es una función paramétrica que se puede utilizar para estimar el efecto de los medios por encima o por debajo del rango en el que se concentra la ejecución histórica de medios (lo que también se denomina extrapolación). Por ejemplo, algunos canales siempre están activos (la ejecución de los medios nunca es igual a cero), por lo que no hay datos para la curva de Hill en cero ni cerca de cero.

Lo ideal sería usar datos, en lugar de una extrapolación paramétrica, para determinar cada punto de la curva de respuesta decreciente, pero esto no es posible. Se requiere la discreción del usuario para comprender el grado de extrapolación inherente a los resultados y determinar el nivel aceptable en la toma de decisiones comerciales. Se debe aplicar una discreción similar al leer las curvas de respuesta.